Skip to contents

Dan MacLean 18 March, 2026

Synopsis

besthr is a package that creates plots showing scored HR experiments and plots of distribution of means of ranks of HR score from bootstrapping.

Installation

You can install from CRAN in the usual way.

install.packages("besthr")

# or for the dev version
#install.packages("devtools")
devtools::install_github("TeamMacLean/besthr")

Citation

Please cite as

Dan MacLean. (2019). TeamMacLean/besthr: Initial Release (0.3.0). Zenodo. https://doi.org/10.5281/zenodo.3374507

Documentation

Full API docs are available here https://teammaclean.github.io/besthr/

Simplest Use Case - Two Groups, No Replicates

With a data frame or similar object, use the estimate() function to get the bootstrap estimates of the ranked data.

estimate() has a basic function call as follows:

estimate(data, score_column_name, group_column_name, control = control_group_name)

The first argument after the

library(besthr)

hr_data_1_file <- system.file("extdata", "example-data-1.csv", package = "besthr")
hr_data_1 <- readr::read_csv(hr_data_1_file)
## Rows: 20 Columns: 2
## ── Column specification ────────────────────────────────────────────────────────
## Delimiter: ","
## chr (1): group
## dbl (1): score
## 
## ℹ Use `spec()` to retrieve the full column specification for this data.
## ℹ Specify the column types or set `show_col_types = FALSE` to quiet this message.
head(hr_data_1)
## # A tibble: 6 × 2
##   score group
##   <dbl> <chr>
## 1    10 A    
## 2     9 A    
## 3    10 A    
## 4    10 A    
## 5     8 A    
## 6     8 A
hr_est_1 <- estimate(hr_data_1, score, group, control = "A")
hr_est_1
## besthr (HR Rank Score Analysis with Bootstrap Estimation)
## =========================================================
## 
## Control: A
## 
## Unpaired mean rank difference of A (14.9, n=10) minus B (6.1, n=10)
##  8.8
## Confidence Intervals (0.025, 0.975)
##  3.96875, 8.42875
## 
## 100 bootstrap resamples.
plot(hr_est_1)
## Confidence interval: 2.5% - 97.5%

Setting Options

You may select the group to set as the common reference control with control.

estimate(hr_data_1, score, group, control = "B" ) %>%
  plot()
## Confidence interval: 2.5% - 97.5%

You may select the number of iterations of the bootstrap to perform with nits and the quantiles for the confidence interval with low and high.

estimate(hr_data_1, score, group, control = "A", nits = 1000, low = 0.4, high = 0.6) %>%
  plot()
## Confidence interval: 40.0% - 60.0%

Extended Use Case - Technical Replicates

You can extend the estimate() options to specify a third column in the data that contains technical replicate information, add the technical replicate column name after the sample column. Technical replicates are automatically merged using the mean() function before ranking.

hr_data_3_file <- system.file("extdata", "example-data-3.csv", package = "besthr")
hr_data_3 <- readr::read_csv(hr_data_3_file)
## Rows: 36 Columns: 3
## ── Column specification ────────────────────────────────────────────────────────
## Delimiter: ","
## chr (1): sample
## dbl (2): score, rep
## 
## ℹ Use `spec()` to retrieve the full column specification for this data.
## ℹ Specify the column types or set `show_col_types = FALSE` to quiet this message.
head(hr_data_3)
## # A tibble: 6 × 3
##   score sample   rep
##   <dbl> <chr>  <dbl>
## 1     8 A          1
## 2     9 A          1
## 3     8 A          1
## 4    10 A          1
## 5     8 A          2
## 6     8 A          2
hr_est_3 <- estimate(hr_data_3, score, sample, rep, control = "A")

hr_est_3
## besthr (HR Rank Score Analysis with Bootstrap Estimation)
## =========================================================
## 
## Control: A
## 
## Unpaired mean rank difference of A (5, n=3) minus B (2, n=3)
##  3
## Confidence Intervals (0.025, 0.975)
##  1.15833333333333, 3
## 
## Unpaired mean rank difference of A (5, n=3) minus C (8, n=3)
##  -3
## Confidence Intervals (0.025, 0.975)
##  7.33333333333333, 8.66666666666667
## 
## 100 bootstrap resamples.
plot(hr_est_3)
## Confidence interval: 2.5% - 97.5%

Alternate Plot Options

In the case where you have use technical replicates and want to see those plotted you can use an extra plot option which. Set which to just_data if you wish the left panel of the plot to show all data without ranking. This will only work if you have technical replicates.

hr_est_3 %>%
  plot(which = "just_data")
## Confidence interval: 2.5% - 97.5%

Built-in Themes and Color Palettes

besthr includes built-in themes and colorblind-safe color palettes that can be applied directly through the plot() function.

Theme Options

Use the theme parameter to change the overall visual style:

  • "classic" (default) - The original besthr appearance
  • "modern" - A cleaner, contemporary style with refined typography and grid
# Classic theme (default - same as before)
plot(hr_est_1, theme = "classic")
## Confidence interval: 2.5% - 97.5%

# Modern theme
plot(hr_est_1, theme = "modern")
## Confidence interval: 2.5% - 97.5%

Color Palette Options

Use the colors parameter to change the color palette:

  • "default" - Original besthr colors
  • "okabe_ito" - Colorblind-safe Okabe-Ito palette
  • "viridis" - Viridis color scale
# Colorblind-safe palette
plot(hr_est_1, colors = "okabe_ito")
## Confidence interval: 2.5% - 97.5%

# Viridis palette
plot(hr_est_1, colors = "viridis")
## Confidence interval: 2.5% - 97.5%

Combining Theme and Colors

You can combine both options for a fully customized look:

# Modern theme with colorblind-safe colors
plot(hr_est_1, theme = "modern", colors = "okabe_ito")
## Confidence interval: 2.5% - 97.5%

Using besthr Palettes Directly

The color palettes can also be used directly in your own ggplot2 code:

# Get palette colors
besthr_palette("okabe_ito", n = 4)
## [1] "#E69F00" "#56B4E9" "#009E73" "#F0E442"
# Available palettes
besthr_palette("default", n = 3)
## [1] "#F8766D" "#00BA38" "#619CFF"
besthr_palette("viridis", n = 3)
## [1] "#482576FF" "#21908CFF" "#BBDF27FF"

Styling Plots

The easiest way to style your plots is using the theme and colors parameters:

# Modern look with colorblind-safe colors (this is the default)
plot(hr_est_1, theme = "modern", colors = "okabe_ito")
## Confidence interval: 2.5% - 97.5%

# Classic appearance
plot(hr_est_1, theme = "classic", colors = "default")
## Confidence interval: 2.5% - 97.5%

# Viridis color scheme
plot(hr_est_1, colors = "viridis")
## Confidence interval: 2.5% - 97.5%

Adding Titles and Annotations

The plot object is a patchwork composition. You can add titles using plot_annotation():

library(patchwork)

p <- plot(hr_est_1)
## Confidence interval: 2.5% - 97.5%
p + plot_annotation(
  title = 'HR Score Analysis',
  subtitle = "Control vs Treatment",
  caption = 'Generated with besthr'
)

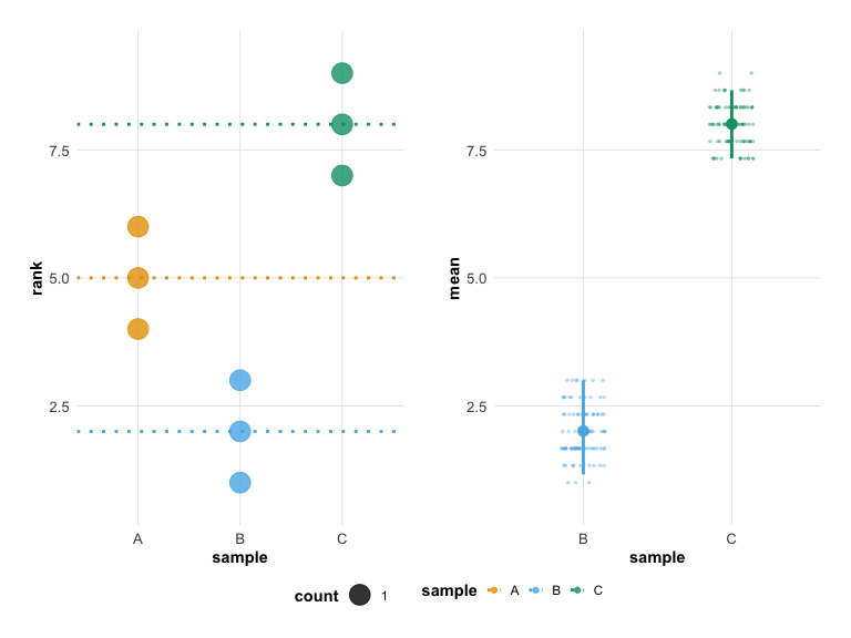
Raincloud Plot

For a combined view of raw data points with summary statistics, use plot_raincloud():

plot_raincloud(hr_est_1)

Significance and Effect Size Annotations

You can add statistical annotations to your plots to highlight significant results.

# Create example data with 3 groups and realistic variation
set.seed(42)
d_effect <- data.frame(
  score = c(
    sample(1:4, 12, replace = TRUE),   # Group A: low scores (control)
    sample(4:8, 12, replace = TRUE),   # Group B: medium-high scores
    sample(6:10, 12, replace = TRUE)   # Group C: high scores
  ),
  group = rep(c("A", "B", "C"), each = 12)
)
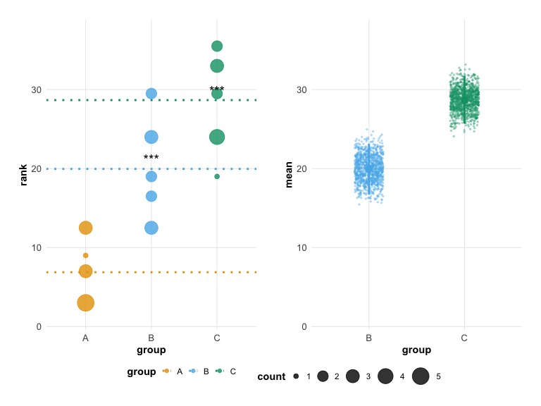
hr_effect <- estimate(d_effect, score, group, control = "A", nits = 1000)

Significance Stars

Add significance stars to groups where the bootstrap confidence interval does not overlap the control mean:

plot(hr_effect, show_significance = TRUE)
## Confidence interval: 2.5% - 97.5%

Effect Size Annotation

Display effect size (difference from control) with confidence intervals:

plot(hr_effect, show_effect_size = TRUE)
## Confidence interval: 2.5% - 97.5%

Computing Statistics Directly

You can also access the significance and effect size calculations directly:

# Compute significance
compute_significance(hr_est_1)
##   group significant p_value stars
## 1     A          NA      NA      
## 2     B        TRUE       0   ***
# Compute effect sizes
compute_effect_size(hr_est_1)
##   group effect effect_ci_low effect_ci_high
## 1     A     NA            NA             NA
## 2     B   -8.8     -10.93125       -6.47125

Summary Tables

Generate publication-ready summary tables with besthr_table():

# Default tibble format
besthr_table(hr_effect)
## # A tibble: 3 × 6
##   group     n mean_rank ci_low ci_high effect_size
##   <chr> <int>     <dbl>  <dbl>   <dbl>       <dbl>
## 1 A        12      6.88   NA      NA          NA  
## 2 B        12     20.0    16.7    23.2        13.1
## 3 C        12     28.7    25.7    31.7        21.8
# With significance stars
besthr_table(hr_effect, include_significance = TRUE)
## # A tibble: 3 × 7
##   group     n mean_rank ci_low ci_high effect_size significance
##   <chr> <int>     <dbl>  <dbl>   <dbl>       <dbl> <chr>       
## 1 A        12      6.88   NA      NA          NA   ""          
## 2 B        12     20.0    16.7    23.2        13.1 "***"       
## 3 C        12     28.7    25.7    31.7        21.8 "***"

Export Formats

Generate tables in various formats for publication:

# Markdown format
besthr_table(hr_est_1, format = "markdown")
## [1] "| group | n | mean_rank | ci_low | ci_high | effect_size |\n| --- | --- | --- | --- | --- | --- |\n| A | 10 | 14.9 | NA | NA | NA |\n| B | 10 |  6.1 | 3.97 | 8.43 | -8.8 |"
# HTML format
besthr_table(hr_est_1, format = "html")

# LaTeX format
besthr_table(hr_est_1, format = "latex")

Publication Export

Save your plots directly to publication-quality files:

# Save to PNG (default 300 DPI)
save_besthr(hr_est_1, "figure1.png")

# Save to PDF
save_besthr(hr_est_1, "figure1.pdf", width = 10, height = 8)

# Save raincloud plot
save_besthr(hr_est_1, "raincloud.png", type = "raincloud")

# With custom options
save_besthr(hr_est_1, "figure1.png",
            theme = "modern",
            colors = "okabe_ito",
            width = 10,
            height = 6,
            dpi = 600)

Supported formats: PNG, PDF, SVG, TIFF, JPEG